Đề án tuyển sinh đại học năm 2023 của ĐHQGHN
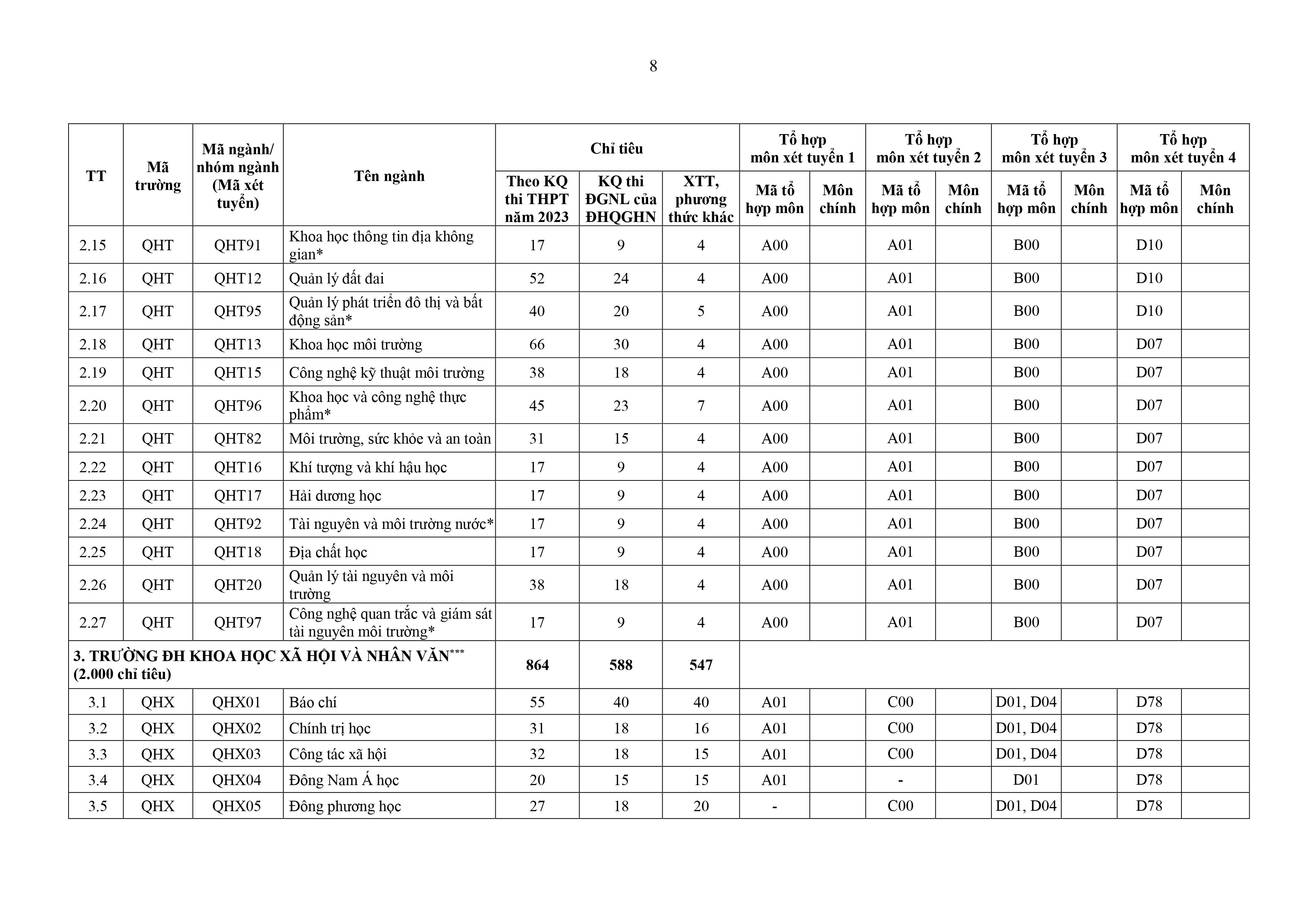
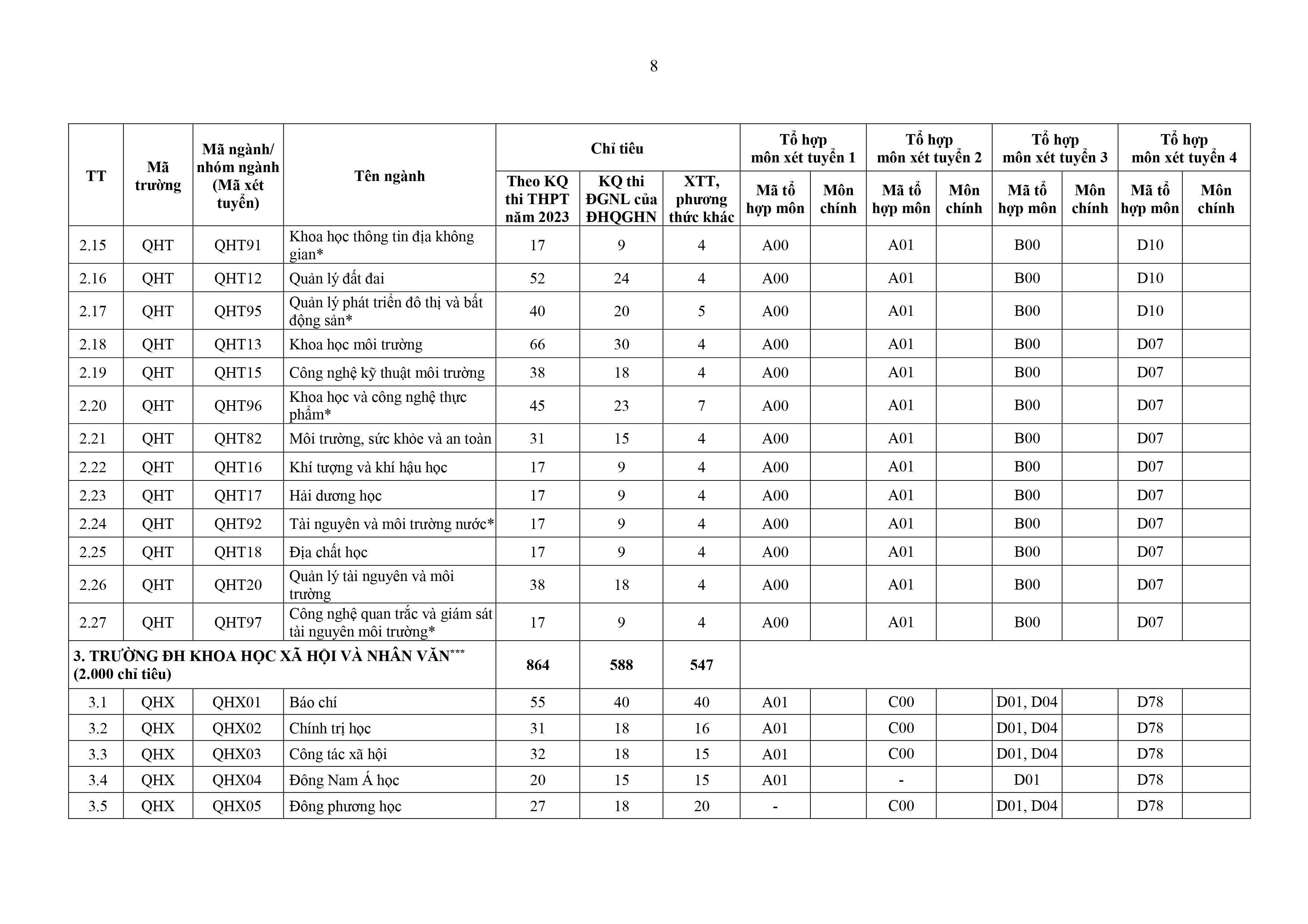
Ngày 19/5/2023, Phó Giám đốc ĐHQGHN Nguyễn Hoàng Hải đã ký ban hành văn bản số 1753/ĐA-ĐHQGHN về Đề án tuyển sinh đại học năm 2023 của ĐHQGHN. Theo đó, năm 2023, ĐHQGHN tuyển sinh 14.945 chỉ tiêu vào 143 ngành/chương trình đào tạo.
VNU Media
%20De%20an%20tuyen%20sinh%202023%20(1).jpg)
%20De%20an%20tuyen%20sinh%202023%20(2).jpg)
%20De%20an%20tuyen%20sinh%202023%20(3).jpg)
%20De%20an%20tuyen%20sinh%202023%20(4).jpg)
%20De%20an%20tuyen%20sinh%202023%20(5).jpg)
%20De%20an%20tuyen%20sinh%202023%20(6).jpg)
%20De%20an%20tuyen%20sinh%202023%20(7).jpg)
%20De%20an%20tuyen%20sinh%202023%20(8).jpg)
%20De%20an%20tuyen%20sinh%202023%20(9).jpg)
%20De%20an%20tuyen%20sinh%202023%20(10).jpg)
%20De%20an%20tuyen%20sinh%202023%20(11).jpg)
%20De%20an%20tuyen%20sinh%202023%20(12).jpg)
%20De%20an%20tuyen%20sinh%202023%20(13).jpg)
%20De%20an%20tuyen%20sinh%202023%20(14).jpg)
%20De%20an%20tuyen%20sinh%202023%20(15).jpg)
%20De%20an%20tuyen%20sinh%202023%20(16).jpg)
%20De%20an%20tuyen%20sinh%202023%20(17).jpg)
%20De%20an%20tuyen%20sinh%202023%20(18).jpg)
%20De%20an%20tuyen%20sinh%202023%20(19).jpg)
%20De%20an%20tuyen%20sinh%202023%20(20).jpg)
%20De%20an%20tuyen%20sinh%202023%20(21).jpg)
%20De%20an%20tuyen%20sinh%202023%20(22).jpg)
%20De%20an%20tuyen%20sinh%202023%20(23).jpg)
%20De%20an%20tuyen%20sinh%202023%20(24)(1).jpg)
%20De%20an%20tuyen%20sinh%202023%20(25).jpg)
%20De%20an%20tuyen%20sinh%202023%20(26).jpg)
%20De%20an%20tuyen%20sinh%202023%20(27)(1).jpg)