1. Thông tin chung về Đại học Quốc gia Hà Nội
1.1.Tên đại học, sứ mạng, địa chỉ các trụ sở (cơ sở và phân hiệu) và địa chỉ website
- Tên Đại học:
Tiếng Việt: Đại học Quốc gia Hà Nội
Tiếng Anh: Vietnam National University, Hanoi
- Tên viết tắt:
Tiếng Việt: ĐHQGHN
Tiếng Anh: VNU
- Đơn vị chủ quản:
- Địa chỉ: Đại học Quốc gia Hà Nội, Hòa Lạc, Thạch Thất, Hà Nội
- Điện thoại: 0243.7547.670 - Fax: 0243.7547.724
- Địa chỉ website: http://vnu.edu.vn - E-mail:tsvnu@vnu.edu.vn
- Cổng thông tin tuyển sinh của ĐHQGHN: http://tuyensinh.vnu.edu.vn/
Sứ mạng
Đào tạo nguồn nhân lực chất lượng cao, trình độ cao, bồi dưỡng nhân tài; nghiên cứu khoa học, phát triển công nghệ và chuyển giao tri thức đa ngành, đa lĩnh vực; góp phần xây dựng, phát triển và bảo vệ đất nước; làm nòng cột và đầu tàu trong hệ thống giáo dục đại học Việt Nam.
Tầm nhìn năm 2030
Trở thành đại học định hướng nghiên cứu, đa ngành, đa lĩnh vực có tính hội nhập cao, trong đó, một số trường đại học, viện nghiên cứu thành viên thuộc các lĩnh vực khoa học cơ bản, công nghệ cao và kinh tế - xã hội mũi nhọn đạt trình độ tiên tiến châu Á.
Giá trị cốt lõi
Đổi mới sáng tạo - Trách nhiệm quốc gia - Phát triển bền vững.
Đạt đỉnh cao dựa vào tri thức.
1.2. Quy mô đào tạo hiện nay
- Đại học: 49.312 sinh viên
- Thạc sĩ: 6.600 học viên
- Tiến sĩ: 980 NCS
2. Các thông tin của năm tuyển sinh
2.1. Đối tượng tuyển sinh
- Người đã được công nhận tốt nghiệp trung học phổ thông (THPT) của Việt Nam hoặc có bằng tốt nghiệp của nước ngoài được công nhận trình độ tương đương;
- Người đã có bằng tốt nghiệp trung cấp ngành nghề thuộc cùng nhóm ngành dự tuyển và đã hoàn thành đủ yêu cầu khối lượng kiến thức văn hóa bậc THPT theo quy định của pháp luật (sau đây gọi chung là tốt nghiệp THPT);
- Có đủ thông tin cá nhân, hồ sơ dự tuyển theo quy định; Đạt các yêu cầu sơ tuyển, nếu đăng kí xét tuyển (ĐKXT) hoặc dự thi vào các trường/khoa có quy định sơ tuyển;
- Có đủ sức khoẻ để học tập theo quy định hiện hành.
2.2. Phạm vi tuyển sinh: ĐHQGHN tuyển sinh trên cả nước và quốc tế.
2.3. Phương thức tuyển sinh
(1) Thí sinh thuộc đối tượng xét tuyển thẳng, ưu tiên xét tuyển và dự bị đại học, người nước ngoài xét tuyển theo Quy chế tuyển sinh của Bộ Giáo dục và Đào tạo (GD&ĐT), Quy định đặc thù của ĐHQGHN và các quy định liên quan của ĐHQGHN;
(2) Thí sinh sử dụng kết quả kỳ thi tốt nghiệp THPT năm 2023 đạt ngưỡng đảm bảo chất lượng đầu vào do ĐHQGHN quy định;
(3) Thí sinh có kết quả thi đánh giá năng lực học sinh THPT do ĐHQGHN tổ chức đạt tối thiểu 80/150 điểm trở lên;
(4) Xét tuyển theo các phương thức khác:
- Thí sinh có kết quả thi đánh giá năng lực của Đại học Quốc gia Thành phố Hồ Chí Minh đạt tối thiểu 750/1200 điểm trở lên;
- Thí sinh có chứng chỉ quốc tế của Trung tâm Khảo thí Đại học Cambridge, Anh (Cambridge International Examinations A-Level, UK; sau đây gọi tắt là chứng chỉ A-Level) có kết quả 3 môn thi trong đó bắt buộc có môn Toán hoặc Ngữ văn theo tổ hợp quy định của ngành đào tạo tương ứng đảm bảo mức điểm mỗi môn thi đạt từ 60/100 điểm trở lên (tương ứng điểm C, PUM range ≥ 60);
- Thí sinh có kết quả trong kỳ thi chuẩn hóa SAT (Scholastic Assessment Test, Hoa Kỳ) đạt từ 1100/1600 điểm trở lên. Mã đăng ký của ĐHQGHN với tổ chức thi SAT (The College Board) là 7853-Vietnam National University-Hanoi (thí sinh cần khai báo mã đăng ký trên khi đăng ký thi SAT);
- Thí sinh có kết quả trong kỳ thi chuẩn hóa ACT (American College Testing) đạt từ 22/36 điểm trở lên;
- Thí sinh có chứng chỉ tiếng Anh IELTS tối thiểu 5.5 điểm hoặc các chứng chỉ tiếng Anh quốc tế tương đương (Phụ lục 1) hoặc các chứng chỉ ngoại ngữ khác (Phụ lục 2) và có tổng điểm 2 môn thi còn lại trong tổ hợp xét tuyển (trong đó bắt buộc có môn Toán hoặc môn Ngữ văn) đạt tối thiểu 14 điểm trong kỳ thi tốt nghiệp THPT của năm tuyển sinh.
Ngoài các phương thức tuyển sinh trên, một số đơn vị có ngành/chương trình đào tạo, lĩnh vực đặc thù có phương thức tuyển sinh riêng (thi năng khiếu hoặc phỏng vấn kết hợp với kết quả học tập cấp THPT/kết quả thi tốt nghiệp THPT/kết quả thi ĐGNL/chứng chỉ quốc tế). Chi tiết được công bố trong Đề án tuyển sinh của các đơn vị.
Các chứng chỉ quốc tế, chứng chỉ tiếng Anh VSTEP, ĐGNL phải còn hạn sử dụng tính đến ngày thí sinh ĐKXT (thời hạn sử dụng 02 năm kể từ ngày dự thi).
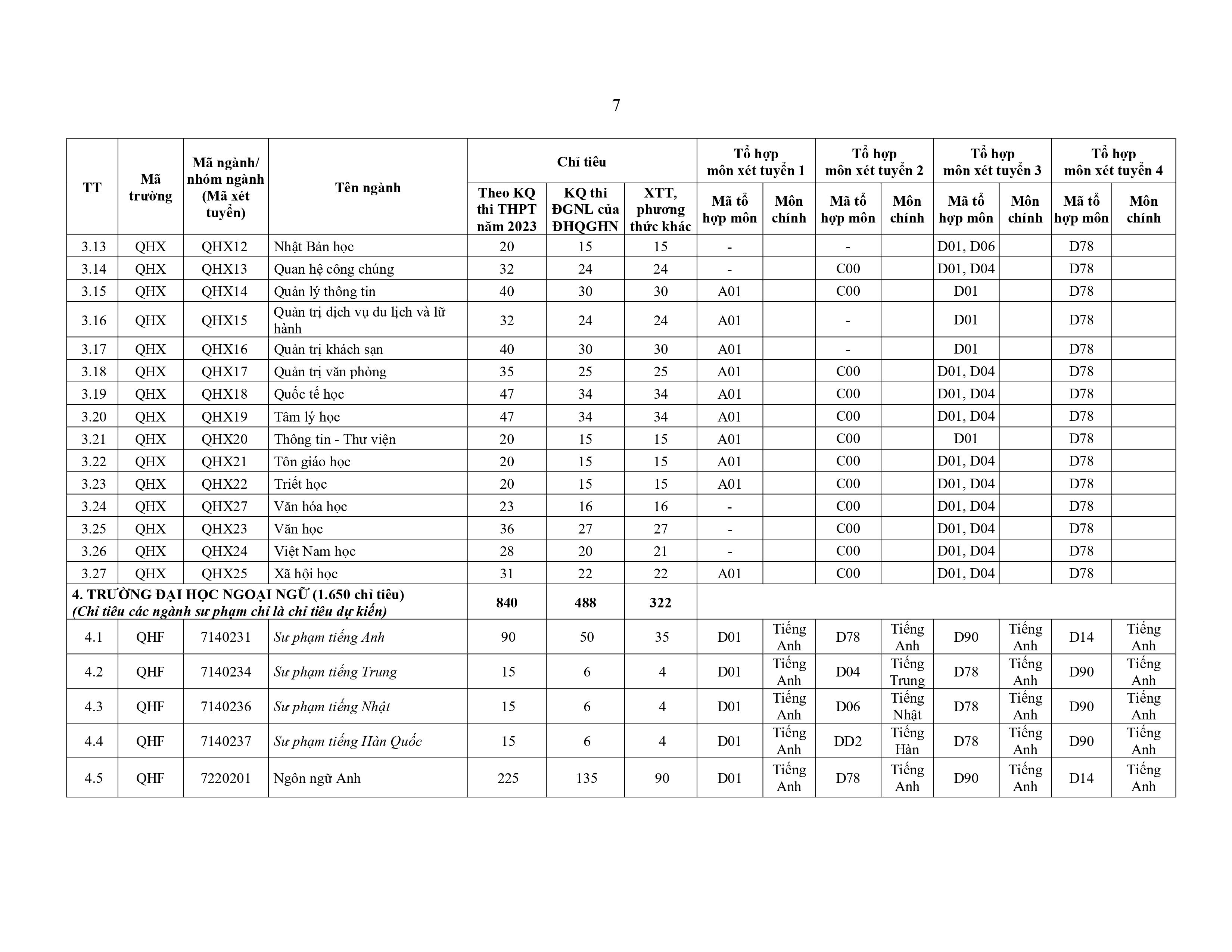
2.4. Chỉ tiêu tuyển sinh (Chỉ tiêu theo Ngành/Nhóm ngành theo từng phương thức tuyển sinh, tổ hợp môn xét tuyển) Thí sinh nhấp chuột vào ảnh để xem chi tiết
Ghi chú:
(*) Các chương trình đào tạo (CTĐT) thí điểm.
(**) CTĐT CLC; thí sinh tham khảo mức học phí và điều kiện phụ về điểm môn ngoại ngữ của từng CTĐT quy định chi tiết trong đề án thành phần của trường đại học thành viên, Trường/Khoa trực thuộc ĐHQGHN.
(***) Các ngành đào tạo xét tuyển theo chỉ tiêu từng tổ hợp (ngành Luật – hệ chuẩn của Trường ĐH Luật và tất cả các CTĐT của Trường ĐH Khoa học Xã hội và Nhân văn), thông tin chi tiết xem tại đề án thành phần của Trường.
(****) CTĐT liên kết quốc tế do ĐHQGHN cấp bằng và/hoặc đồng cấp bằng.
Một số lưu ý khác:
Đối với các CTĐT tài năng, chất lượng cao: Xét tuyển dựa trên kết quả thi tốt nghiệp THPT năm 2023 hoặc từ các nguồn tuyển khác theo yêu cầu riêng của từng ngành/CTĐT (công bố chi tiết trong Đề án tuyển sinh trình độ đại học năm 2023 của đơn vị). Sau khi trúng tuyển vào Trường, thí sinh có nguyện vọng theo học các CTĐT tài năng, chất lượng cao phải đạt điểm trúng tuyển vào ngành/CTĐT tương ứng kể trên theo tổ hợp xét tuyển tương ứng và phải đảm bảo điều kiện ngoại ngữ đầu vào (kết quả môn Ngoại ngữ của kì thi tốt nghiệp THPT năm 2023 đạt tối thiểu 5,0 điểm (theo thang điểm 10) hoặc kết quả học tập từng kỳ (6 học kỳ) môn Ngoại ngữ bậc THPT đạt tối thiểu 7,0 điểm hoặc sử dụng các chứng chỉ ngoại ngữ quốc tế tương đương theo quy định tại Quy chế thi tốt nghiệp THPT hiện hành). Điểm đăng ký dự tuyển vào các CTĐT này do các đơn vị quy định nhưng tối thiểu bằng hoặc cao hơn điểm trúng tuyển vào ngành/CTĐT chuẩn tương ứng;
Đối với các ngành chỉ có 01 loại CTĐT là CLC thì đơn vị công bố rõ trong Đề án tuyển sinh và xét tuyển trực tiếp; ngưỡng đầu vào của các CTĐT CLC này tối thiểu phải bằng hoặc cao hơn ngưỡng đầu vào các CTĐT chuẩn/nhóm ngành hoặc các ngành trong cùng lĩnh vực tương ứng của đơn vị.
Việc phân ngành của Trường ĐH Giáo dục đối với nhóm ngành: GD1, GD2, GD3 được thực hiện sau 2 học kỳ chính của năm thứ nhất, chi tiết xem tại Đề án tuyển sinh của Nhà trường.
Tiêu chí phụ xét tuyển của từng CTĐT (nếu có) được quy định tại các đề án thành phần của trường đại học thành viên, trường/khoa trực thuộc ĐHQGHN.
Bảng tổ hợp môn xét tuyển đại học năm 2023 của ĐHQGHN
A00: Toán, Vật lí, Hoá học | D14: Ngữ văn, Lịch sử, Tiếng Anh |
A01: Toán, Vật lí, Tiếng Anh | D15: Ngữ văn, Địa lý, Tiếng Anh |
A02: Toán, Vật lí, Sinh học | D23: Toán, Hóa học, Tiếng Nhật |
B00: Toán, Hoá học, Sinh học | D24: Toán, Hóa học, Tiếng Pháp |
C00: Ngữ văn, Lịch sử, Địa lý | D28: Toán, Vật lí, Tiếng Nhật |
C01: Ngữ văn, Toán, Vật lý | D33: Toán, Sinh học, Tiếng Nhật |
D01: Toán, Ngữ văn, Tiếng Anh | D63: Ngữ văn, Lịch sử, Tiếng Nhật |
D02: Toán, Ngữ văn, Tiếng Nga | D78: Ngữ văn, Khoa học xã hội, Tiếng Anh |
D03: Toán, Ngữ văn, Tiếng Pháp | D81: Ngữ văn, Khoa học xã hội, Tiếng Nhật |
D04: Toán, Ngữ văn, Tiếng Trung | D82: Ngữ văn, Khoa học xã hội, Tiếng Pháp |
D05: Toán, Ngữ văn, Tiếng Đức | D90: Toán, Khoa học Tự nhiên, Tiếng Anh |
D06: Toán, Ngữ văn, Tiếng Nhật | D96: Toán, Khoa học Xã hội, Tiếng Anh |
D07: Toán, Hóa học, Tiếng Anh | D97: Toán, Khoa học Xã hội, Tiếng Pháp |
D08: Toán, Sinh học, Tiếng Anh | DD0: Toán, Khoa học Xã hội, Tiếng Nhật |
D09: Toán, Lịch sử, Tiếng Anh | DD2: Toán, Ngữ văn, Tiếng Hàn |
D10: Toán, Địa lý, Tiếng Anh | H01: Toán, Ngữ văn, Vẽ |
H04: Toán, Tiếng Anh, Vẽ năng khiếu | H05: Ngữ văn, Khoa học xã hội, Vẽ năng khiếu |
H06: Ngữ Văn, Tiếng Anh, Vẽ mỹ thuật | |
*Lưu ý: Các bài thi/môn thi Vẽ, Vẽ năng khiếu, Vẽ mỹ thuật trong tổ hợp H01, H04, H05, H06 là bài thi/môn thi do Khoa Các khoa học liên ngành- ĐHQGHN tổ chức.
2.5. Ngưỡng đảm bảo chất lượng đầu vào, điều kiện nhận đăng ký xét tuyển
a) Căn cứ vào kết quả kỳ thi tốt nghiệp THPT năm 2023, ĐHQGHN quy định ngưỡng đảm bảo chất lượng đầu vào tương ứng đối với thí sinh sử dụng kết quả thi tốt nghiệp THPT năm 2023 để xét tuyển ;
b) Ngưỡng đảm bảo chất lượng đầu vào đối với thí sinh sử dụng kết quả thi đánh giá năng lực do ĐHQGHN tổ chức đạt tối thiểu 80/150 điểm trở lên (một số ngành khối sức khỏe: Y khoa, Răng – Hàm – Mặt, Dược học ngưỡng đảm bảo chất lượng đạt tối thiểu 100 điểm); Ngưỡng đảm bảo chất lượng đầu vào đối với thí sinh sử dụng kết quả thi đánh giá năng lực của Đại học Quốc gia Thành phố Hồ Chí Minh tổ chức đạt tối thiểu 750/1200 điểm trở lên;
c) Ngưỡng đảm bảo chất lượng đầu vào đối với thí sinh sử dụng chứng chỉ A-Level tổ hợp kết quả 3 môn thi theo các khối thi quy định của ngành đào tạo tương ứng đảm bảo mức điểm mỗi môn thi đạt từ 60/100 điểm trở lên (tương ứng điểm C, PUM range ≥ 60) (chứng chỉ còn hạn sử dụng trong khoảng thời gian 02 năm kể từ ngày dự thi) mới đủ điều kiện đăng ký để xét tuyển;
d) Ngưỡng đảm bảo chất lượng đầu vào đối với thí sinh sử dụng kết quả kỳ thi SAT là 1100/1600 (chứng chỉ còn hạn sử dụng trong khoảng thời gian 02 năm kể từ ngày dự thi). Mã đăng ký của ĐHQGHN với tổ chức thi SAT (The College Board) là 7853-Vietnam National University-Hanoi(thí sinh phải khai báo mã đăng ký trên khi đăng ký thi SAT).
đ) Xét tuyển thí sinh có kết quả trong kỳ thi chuẩn hóa ACT (American College Testing) đạt điểm từ 22/36;
e) Xét tuyển kết hợp: Thí sinh có chứng chỉ tiếng Anh IELTS từ 5.5 trở lên hoặc các chứng chỉ tiếng Anh quốc tế tương đương (quy định tại Phụ lục 1) hoặc các chứng chỉ ngoại ngữ quốc tế khác (quy định tại Phụ lục 2) và có tổng điểm 2 môn thi còn lại trong tổ hợp xét tuyển đạt tối thiểu 14 điểm trong kỳ thi THPT năm 2023 (trong đó bắt buộc có môn Toán hoặc môn Ngữ văn).
Đối với khối ngành sức khỏe (Y khoa, Dược học, Răng – Hàm - Mặt), ngoại ngữ và các ngành đào tạo có cạnh tranh cao ưu tiên xét tuyển những thí sinh có chứng chỉ tiếng Anh IETLS từ 6.5 trở lên kết hợp với các môn chuyên môn (điểm 2 môn còn lại trong tổ hợp xét tuyển phải đạt tối thiểu 16 điểm). Các tiêu chí cụ thể khác do đơn vị xây dựng, quy đổi, công bố dựa trên nguyên tắc chung xét từ cao xuống thấp đến hết chỉ tiêu công bố.
Ngoài ra, một số đơn vị có phương thức xét tuyển khác theo đề án riêng (sơ tuyển, phỏng vấn kết hợp với điểm thi THPT/kết quả học tập bậc THPT), được công bố chi tiết trong Đề án tuyển sinh của đơn vị.
Thí sinh theo dõi các thông tin tuyển sinh mới nhất tại Cổng thông tin tuyển sinh của ĐHQGHN (địa chỉ http://tuyensinh.vnu.edu.vn).
2.7. Thời gian xét tuyển
Thời gian xét tuyển thực hiện theo Hướng dẫn của Bộ GDĐT và Hướng dẫn tuyển sinh ĐHCQ năm 2023 của ĐHQGHN), chi tiết được cập nhật trong và Đề án tuyển sinh thành phần của đơn vị đăng trên Cổng thông tin tuyển sinh của ĐHQGHN, Cổng thông tin điện tử các đơn vị đào tạo (đường link chi tiết tại Phụ lục 3).
Đối với các đơn vị xét tuyển theo phương thức hồ sơ năng lực (học bạ + phỏng vấn + điểm thi tốt nghiệp THPT): Theo lịch của các HĐTS (chi tiết sẽ được công bố trong Đề án/Thông báo tuyển sinh của các đơn vị).
Thông tin cụ thể về thời gian, quy trình ĐKXT sẽ được thông báo trên trang thông tin điện tử của các đơn vị đào tạo và Cổng thông tin tuyển sinh của ĐHQGHN ngay sau khi có văn bản hướng dẫn của Bộ GD&ĐT.
2.8. Chính sách ưu tiên trong tuyển sinh
2.8.1. Chính sách ưu tiên theo đối tượng, theo khu vực, các đối tượng được xét tuyển thẳng và ưu tiên xét tuyển thực hiện theo Quy chế tuyển sinh, Hướng dẫn tuyển sinh của Bộ GD&ĐT và của ĐHQGHN
2.8.2. Học sinh THPT tham dự kỳ thi chọn đội tuyển quốc gia dự thi Olympic quốc tế; trong đội tuyển quốc gia dự cuộc thi khoa học, kỹ thuật quốc tế; đoạt giải nhất, nhì, ba trong kỳ thi chọn học sinh giỏi quốc gia; đoạt giải nhất, nhì, ba trong cuộc thi khoa học, kỹ thuật cấp quốc gia và đã tốt nghiệp THPT được xét tuyển thẳng vào bậc đại học của ĐHQGHN theo ngành phù hợp với môn thi hoặc nội dung đề tài dự thi mà thí sinh đã đoạt giải.
2.8.3. Học sinh THPT trên toàn quốc:
2.8.3.1. Được ưu tiên xét tuyển vào bậc đại học tại ĐHQGHN nếu tốt nghiệp THPT, có lực học Giỏi, hạnh kiểm Tốt trong 3 năm học THPT và đáp ứng một trong các tiêu chí sau:
a) Đạt giải Nhất, Nhì, Ba trong kỳ thi Olympic bậc THPT của ĐHQGHN;
b) Là thành viên tham gia cuộc thi tháng của chương trình “Đường lên đỉnh Olympia” do Đài truyền hình Việt Nam tổ chức hàng năm và có điểm trung bình chung học tập bậc THPT đạt từ 8,5 trở lên;
c) Đạt giải Nhất, Nhì, Ba trong kỳ thi học sinh giỏi cấp tỉnh/thành phố trực thuộc trung ương có môn đạt giải thuộc tổ hợp xét tuyển hoặc môn đạt giải phù hợp với ngành đào tạo và điểm trung bình chung học tập bậc THPT đạt từ 8,5 trở lên.
2.8.3.2. Được xem xét tuyển thẳng vào các ngành Khoa học cơ bản của ĐHQGHN phù hợp với môn thi nếu tốt nghiệp THPT, có lực học Giỏi, hạnh kiểm Tốt trong 3 năm học THPT và đáp ứng tiêu chí a, c Mục 2.8.3.1
Thí sinh đạt giải trong các năm học ở bậc THPT được bảo lưu kết quả khi ĐKXT vào bậc đại học tại ĐHQGHN.
2.8.3.3. Ngoài mục 2.8.2, 2.8.3, học sinh THPT hệ chuyên thuộc ĐHQGHN và hệ chuyên/lớp chuyên của các trường THPT chuyên cấp tỉnh, thành phố trực thuộc Trung ương, các trường THPT trọng điểm quốc gia được xét tuyển thẳng vào bậc đại học tại ĐHQGHN theo ngành phù hợp với môn thi hoặc nội dung đề tài dự thi mà thí sinh đã đoạt giải nếu tốt nghiệp THPT, có hạnh kiểm 3 năm học THPT đạt loại Tốt và đáp ứng một trong các tiêu chí sau:
a) Đạt giải chính thức trong các kỳ thi sáng tạo, triển lãm khoa học kỹ thuật khu vực, quốc tế;
b) Đạt giải chính thức trong các kỳ thi Olympic bậc THPT của ĐHQGHN;
c) Đạt giải chính thức trong kỳ thi chọn học sinh giỏi bậc THPT cấp ĐHQGHN;
2.8.4. Ngoài mục 2.8.2, 2.8.3, học sinh hệ không chuyên của các trường THPT thuộc ĐHQGHN được ưu tiên xét tuyển vào bậc đại học tại ĐHQGHN phải tốt nghiệp THPT, có học lực Giỏi, hạnh kiểm Tốt trong 3 năm học THPT và đáp ứng một trong các tiêu chí sau:
a) Đạt giải chính thức trong các kỳ thi sáng tạo, triển lãm khoa học kỹ thuật khu vực, quốc tế;
b) Đạt giải chính thức trong kỳ thi chọn học sinh giỏi bậc THPT cấp ĐHQGHN;
c) Có kết quả thi đánh giá năng lực học sinh THPT do ĐHQGHN tổ chức đạt tối thiểu 90 điểm (thang điểm 150);
Đơn vị quy định cụ thể các tiêu chí xét tuyển dựa trên kết quả học tập, thứ tự ưu tiên xét tuyển thẳng theo kết quả cuộc thi, giải thưởng thí sinh đạt được và các tiêu chí phụ khác (nếu có).
Các thí sinh diện ưu tiên xét tuyển phải có kết quả thi tốt nghiệp THPT năm 2023 đạt ngưỡng đảm bảo chất lượng đầu vào của ngành/nhóm ngành/CTĐT trong năm tuyển sinh (mức điểm xét tuyển cụ thể và các tiêu chí phụ do đơn vị quy định).
2.8.5. Thí sinh không dùng quyền xét tuyển thẳng được ưu tiên xét tuyển nếu đạt ngưỡng đảm bảo chất lượng đầu vào của ngành/nhóm ngành/CTĐT trong năm tuyển sinh.
2.8.6. Các đơn vị quy định cụ thể về xét tuyển thẳng, ưu tiên xét tuyển theo Quy chế tuyển sinh, bao gồm: ngành/nhóm ngành/CTĐT, thí sinh được xét tuyển thẳng, ưu tiên xét tuyển tương ứng với loại giải và môn thi của thí sinh đoạt giải hoặc môn chuyên của thí sinh (các đơn vị có thể bổ sung thêm các ngành đúng, ngành gần đối với từng môn thi học sinh giỏi quốc gia hoặc môn chuyên phù hợp với yêu cầu đầu vào của ngành), chỉ tiêu cho từng ngành/nhóm ngành/CTĐT, quy trình xét tuyển được công bố công khai trên trang thông tin của đơn vị, của ĐHQGHN và các phương tiện thông tin đại chúng.
2.9. Học phí dự kiến với sinh viên và lộ trình tăng học phí tối đa cho từng năm
Học phí năm học 2023-2024 được thu theo Nghị định số 81/2021/NĐ-CP ngày 27/8/2021 của Thủ tướng chính phủ quy định về cơ chế thu, quản lý học phí đối với cơ sở giáo dục thuộc hệ thống giáo dục quốc dân và chính sách miễn, giảm học phí, hỗ trợ chi phí học tập; giá dịch vụ trong lĩnh vực giáo dục, đào tạo. Cụ thể các mức thu học phí theo từng ngành/CTĐT xem tại Đề án tuyển sinh sẽ được đăng tải trên Cổng thông tin tuyển sinh của ĐHQGHN và trang thông tin điện tử của các đơn vị đào tạo.
2.10.Các nội dung khác
- Địa chỉ trang thông tin điện tử của ĐHQGHN: http://vnu.edu.vn hoặc Cổng thông tin tuyển sinh của ĐHQGHN: http://tuyensinh.vnu.edu.vn
- Điện thoại: 024. 375 47 670 (máy lẻ 432)
- Thông tin trực hỗ trợ để giải đáp thắc mắc: Chi tiết xem tại đề án thành phần của các trường thành viên, Trường/Khoa trực thuộc ĐHQGHN.
.jpg)
.jpg)
.jpg)
.jpg)
.jpg)
.jpg)

.jpg)
.jpg)
(1).jpg)